Предмет: Математика,
автор: Xitar1
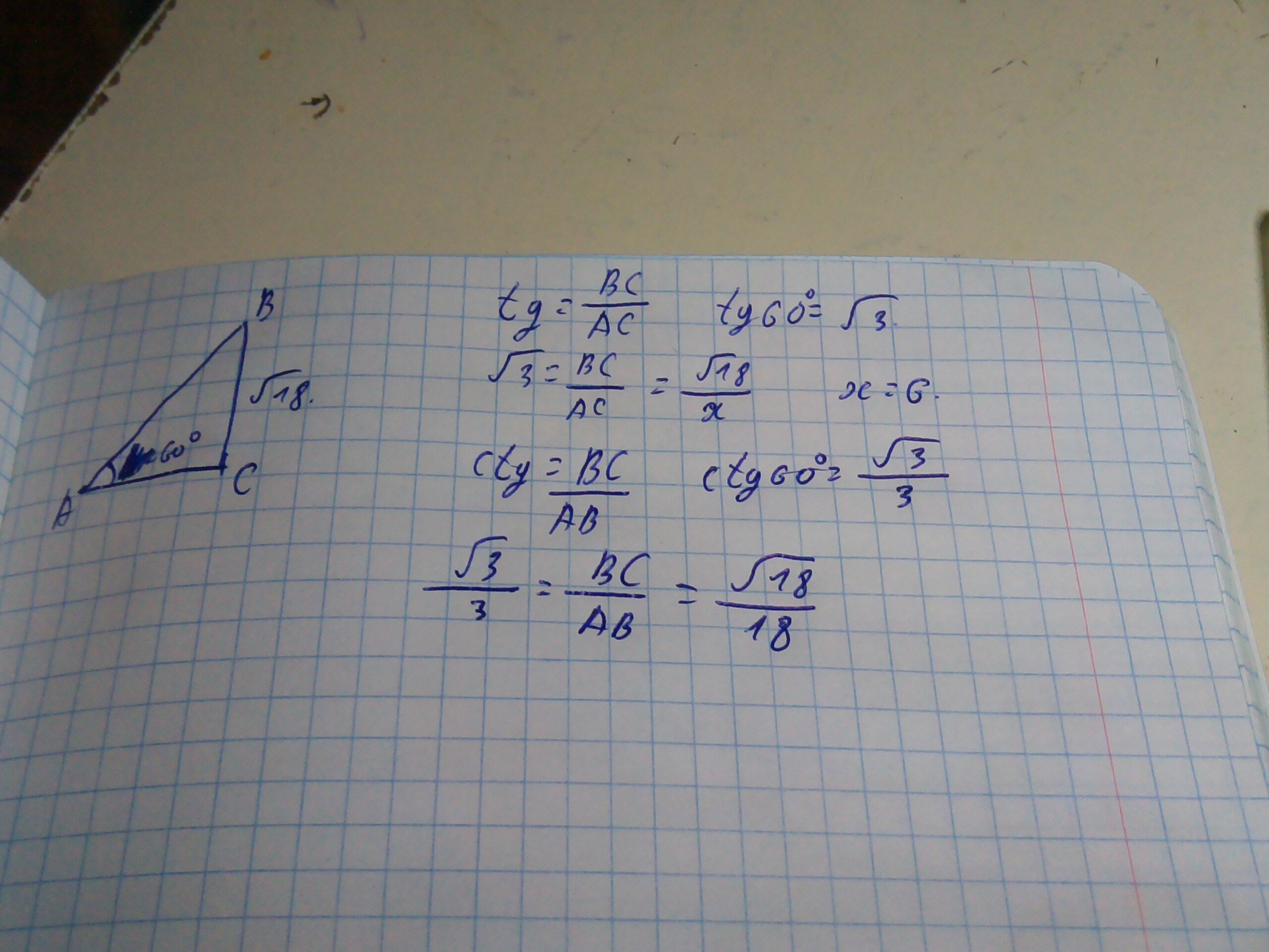
Срочно, 30 баллов. Дан угол А 60 градусов, ВС в корне 18. Вычислить АВ И АС
Приложения:
Ответы
Автор ответа:
0
tg = BC/AC тангенс 60 градусов равен корень из 3 значить корень из 18/ac=корень из 3 AC= 6
ctg= BC/AB ctg60=корень из 3 делить на 3 то есть AB=BC/ctg60=корень из 18 делить на (корень из 3 делить на 3 )
ctg= BC/AB ctg60=корень из 3 делить на 3 то есть AB=BC/ctg60=корень из 18 делить на (корень из 3 делить на 3 )
Приложения:
Автор ответа:
0
Слушай, можешь все это написать?
Автор ответа:
0
добавил
Автор ответа:
0
Спасибо большое
Автор ответа:
0
ответ ab=18 ac=6
Похожие вопросы
Предмет: Физика,
автор: Аноним
Предмет: Математика,
автор: lagodnaanika
Предмет: Геометрия,
автор: liza1767
Предмет: Экономика,
автор: pexa26