Предмет: Математика,
автор: dowry
Решите срочно!Пожалуйста!
Приложения:
Ответы
Автор ответа:
0
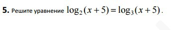
два логарифма с одинаковыми числами и разными основаниями = когда числа будут равны 1
x+5=1
x=-4
проверка
log2(x+5)=log2 1=0
log3(x+5)=log3 1=0
x+5=1
x=-4
проверка
log2(x+5)=log2 1=0
log3(x+5)=log3 1=0
Похожие вопросы
Предмет: История,
автор: elizabeth2008liza
Предмет: Информатика,
автор: Disdkdo
Предмет: Алгебра,
автор: anyanik1shinanikishi
Предмет: Математика,
автор: katerina0598