Предмет: Алгебра,
автор: pokemon223
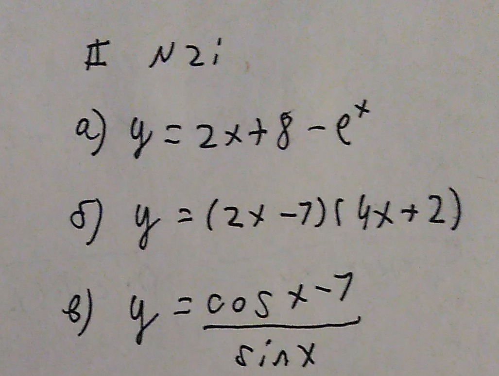
Алгебра, вычислить производную
Приложения:
Ответы
Автор ответа:
0
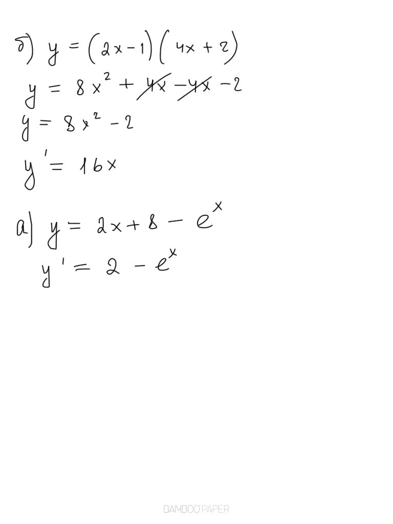
Решение данных заданий
Приложения:
Автор ответа:
0
Я обновила
Автор ответа:
0
в третьем файле немного ошиблась. Сейчас поправлю
Автор ответа:
0
тьфу, в четвертом. Я уже в них запуталась. Сейчас лишние удалю
Автор ответа:
0
теперь обновлено
Автор ответа:
0
там не 8х, а 8х^2
Похожие вопросы
Предмет: Английский язык,
автор: wizarddanya
Предмет: Математика,
автор: Chel02
Предмет: Английский язык,
автор: Аноним
Предмет: Химия,
автор: orangeboxkeegean
Предмет: География,
автор: DianaP99