Предмет: Алгебра,
автор: semenmoskalenko
Помогите пожалуйста!!Максимум баллов)
Приложения:
Ответы
Автор ответа:
0
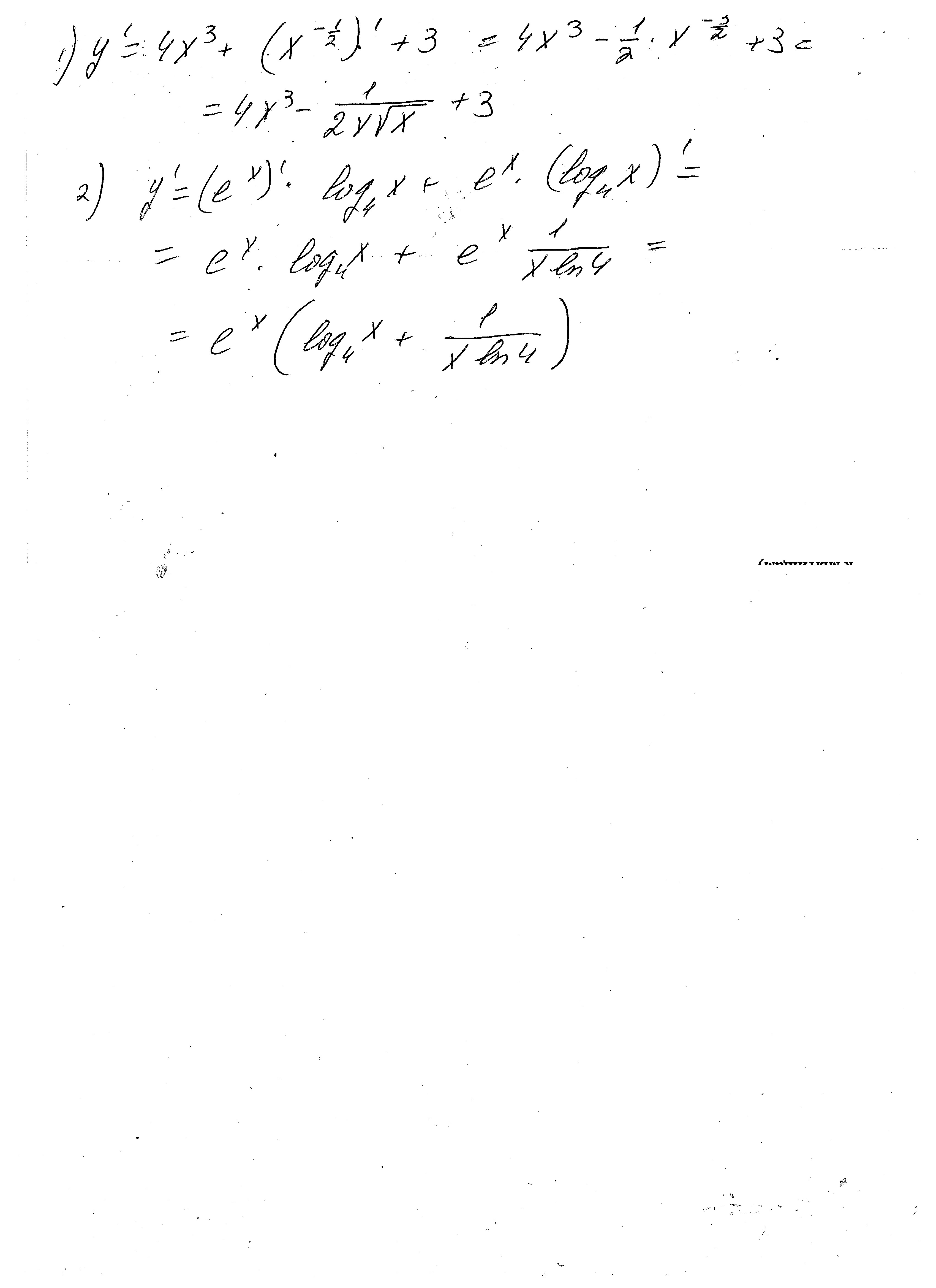
1)

2)

2)
Автор ответа:
0
решение- в приложении
Приложения:
Похожие вопросы
Предмет: Математика,
автор: innademchuk1993
Предмет: История,
автор: serialsamomulti
Предмет: Биология,
автор: golubinamilana4
Предмет: Алгебра,
автор: Julia946732986
Предмет: Химия,
автор: tamoyan9279