Предмет: Математика,
автор: sasha12051
Сделайте пожалуйста !!!!! Срочноооо !!!
Приложения:
Ответы
Автор ответа:
0
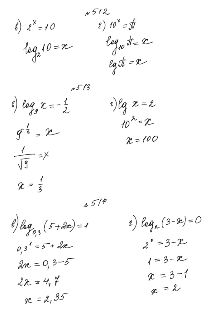
Решение в прикрепленном файле.
Приложения:
Похожие вопросы
Предмет: Алгебра,
автор: Maria1977190877
Предмет: Английский язык,
автор: Софья6789
Предмет: Химия,
автор: dmitriinovikov077
Предмет: Литература,
автор: slava2014131