Предмет: Математика,
автор: errerererrr
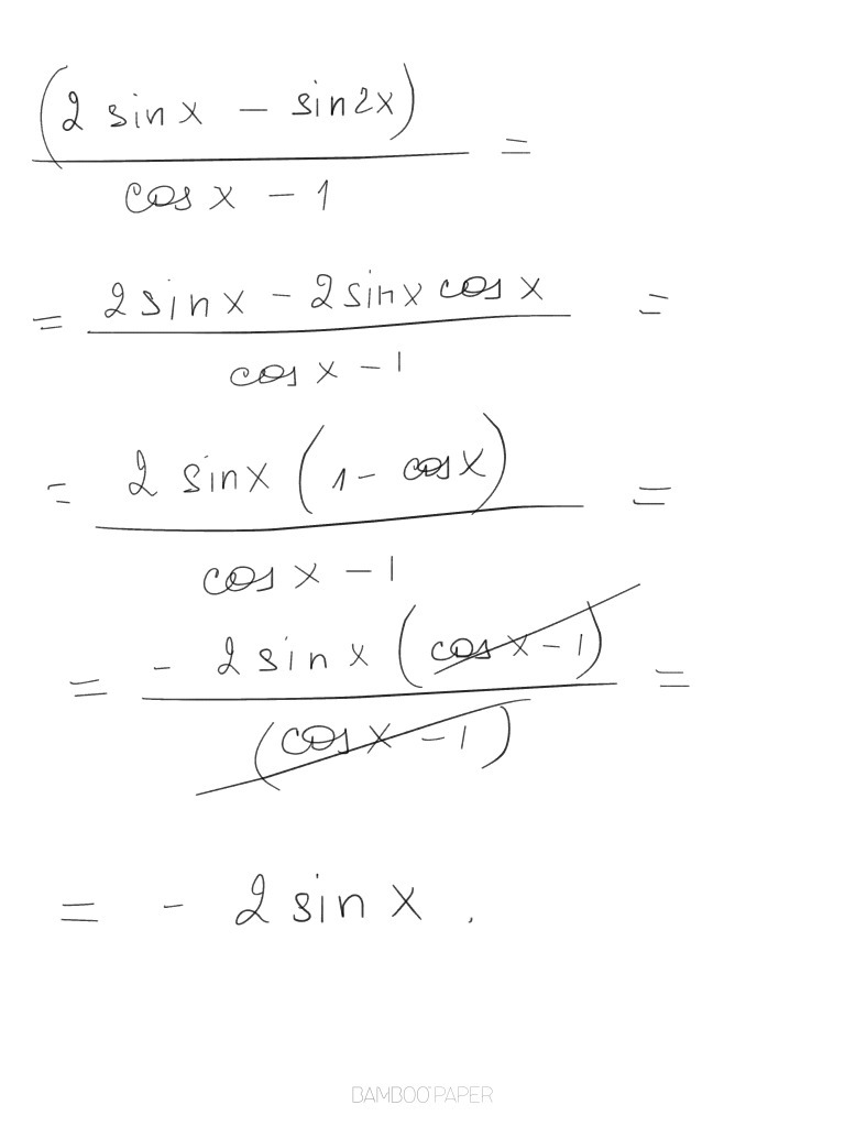
упростить выражение с детальным решением
(2*sin(x)-sin(2*x))/(cos(x)-1)
Ответы
Автор ответа:
0
Решение данного задания
Приложения:
Автор ответа:
0
спасибо вам огромное!
Автор ответа:
0
Пожалуйста!
Автор ответа:
0
Приложения:
Похожие вопросы
Предмет: Английский язык,
автор: Аноним
Предмет: Українська мова,
автор: skett15454
Предмет: Математика,
автор: prozet
Предмет: Физика,
автор: sergeykryglov
Предмет: Химия,
автор: briebella