Предмет: Алгебра,
автор: sedelnikoffvic
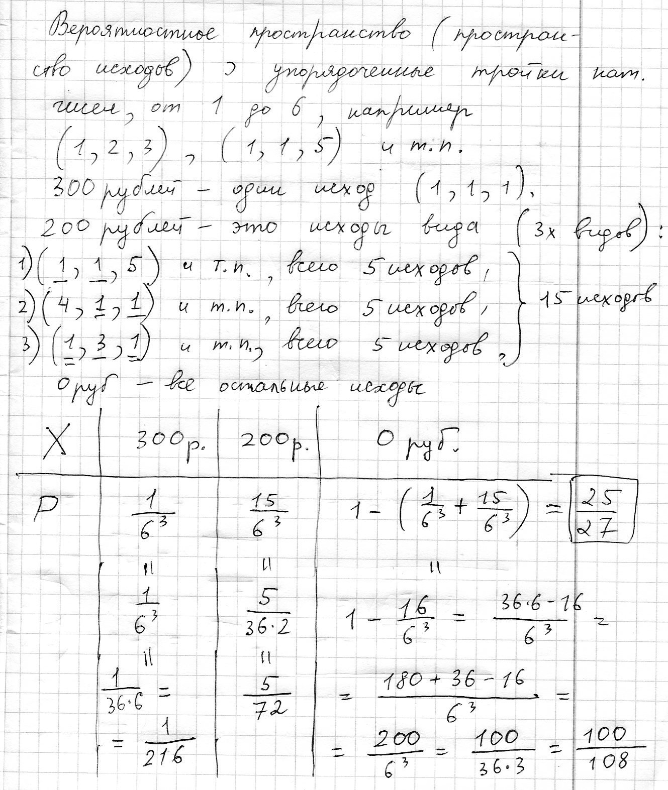
Игроки в кости договорились,что при выпадании 3-х единиц выйгрышь составляет 200 рублей,2-х единиц 100 рублей.Составить закон распределения случаянной величины выйгрыша и найти ее числовые характеристики
Ответы
Автор ответа:
0
/приложенный файл/===>>>
Приложения:
Автор ответа:
0
спасибо
Автор ответа:
0
блин, я там ошибся, не 300, 200, 0 руб. Правильные значения (которые принимает случайная величина): 200, 100 и 0 руб.
Похожие вопросы
Предмет: Українська мова,
автор: sofiia4434
Предмет: Русский язык,
автор: businka200090
Предмет: ОБЖ,
автор: onyshchenkoangel
Предмет: Геометрия,
автор: lkolokoll
Предмет: Математика,
автор: viropaz