Предмет: Математика,
автор: DominicTorreto
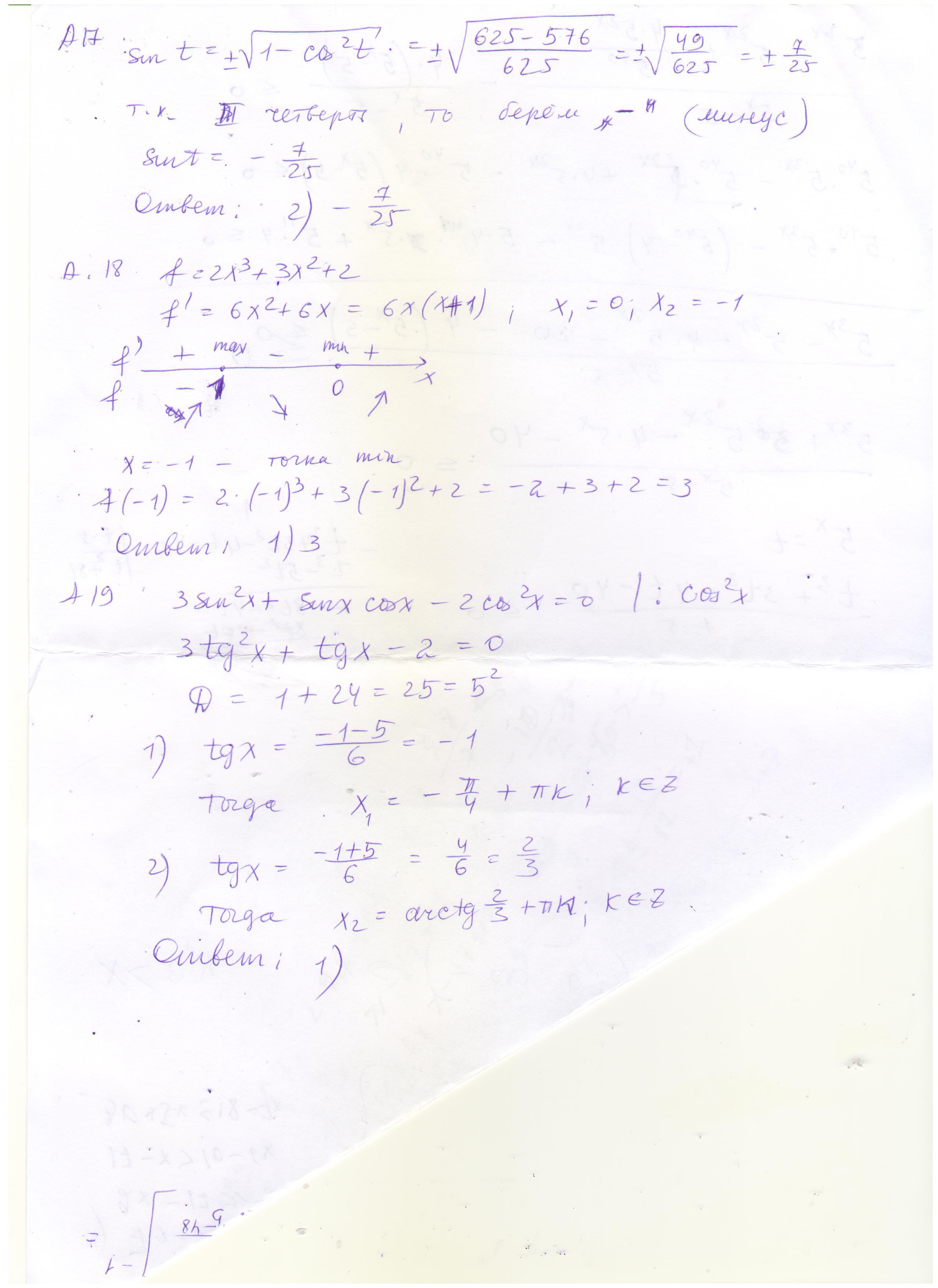
Решите пожалуйста какой сможете
Приложения:
Ответы
Автор ответа:
0
смотри приложенный файл
Приложения:
Автор ответа:
0
спасибо
Похожие вопросы
Предмет: Математика,
автор: jurij1234567890
Предмет: Математика,
автор: gulnur061108
Предмет: Математика,
автор: margaritapankulic
Предмет: Литература,
автор: Настя5670
Предмет: Алгебра,
автор: yanysik24141719