Предмет: Алгебра,
автор: Rose001
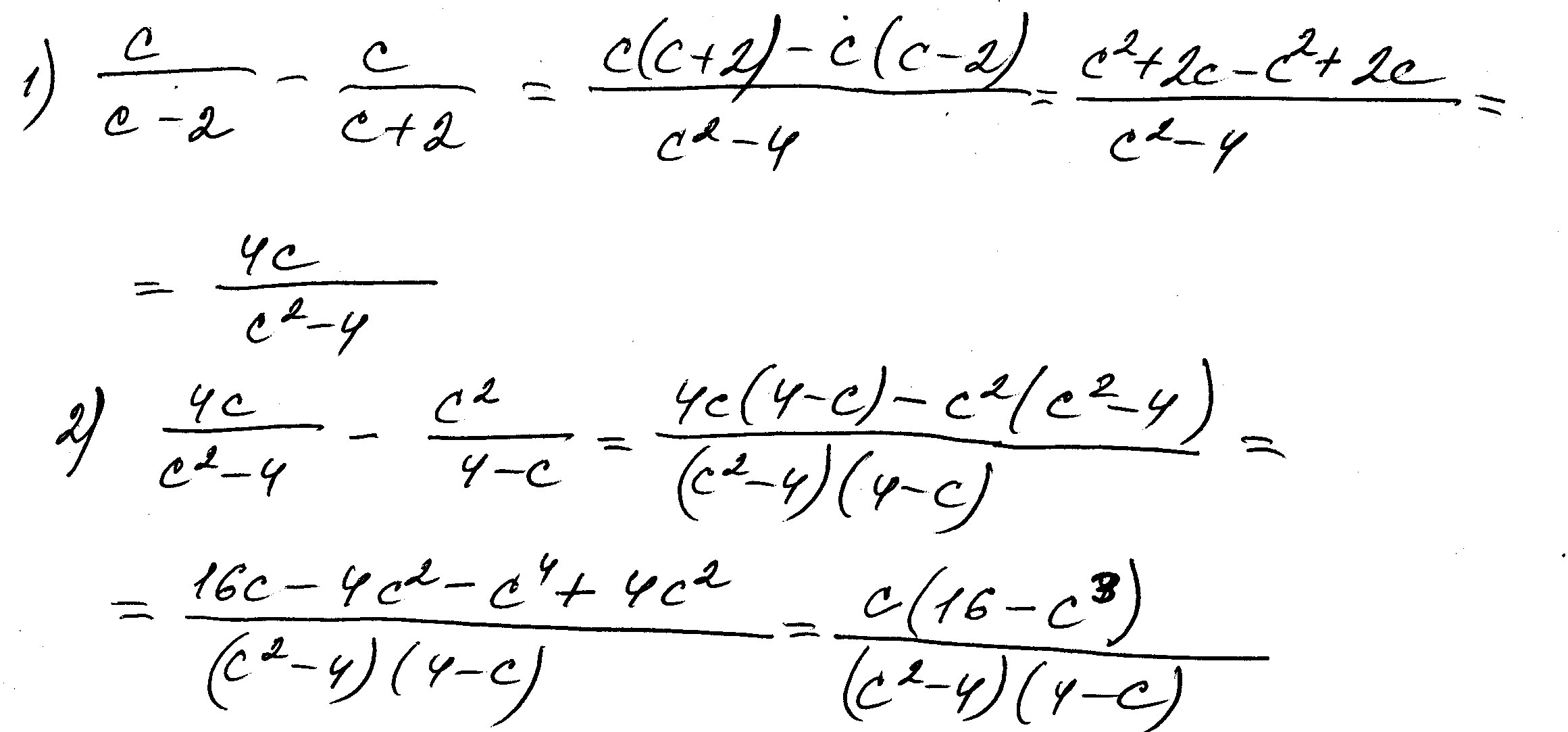
c/c-2 - c/c+2 - c^2/4-c
Помогите пожалуйста и распишите подробно
Ответы
Автор ответа:
0
решение во вложенном файле (сделано по действиям)
Приложения:
Похожие вопросы
Предмет: Музыка,
автор: bondarm160
Предмет: Русский язык,
автор: Ayulincom
Предмет: Математика,
автор: kirilltimin870
Предмет: Алгебра,
автор: paposik