Предмет: Алгебра,
автор: 6603673
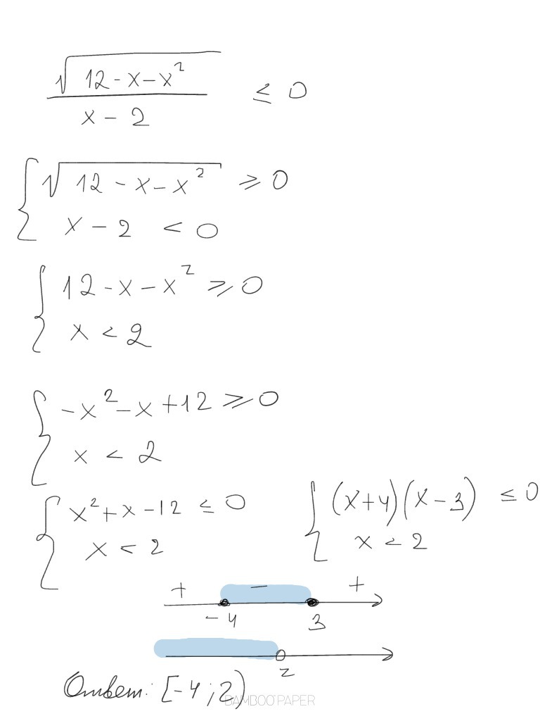
решите неравенство
Ответы
Автор ответа:
0
Решение данного задания
Приложения:
Похожие вопросы
Предмет: Геометрия,
автор: иолантаи
Предмет: Химия,
автор: sasadada60
Предмет: Математика,
автор: nikita201016
Предмет: Математика,
автор: elenamelnik82