Предмет: Математика, автор: FreD1x1337

срочно помогите решить что сможете

Приложения:

Ответы

Автор ответа: KseniaHarlequin
0
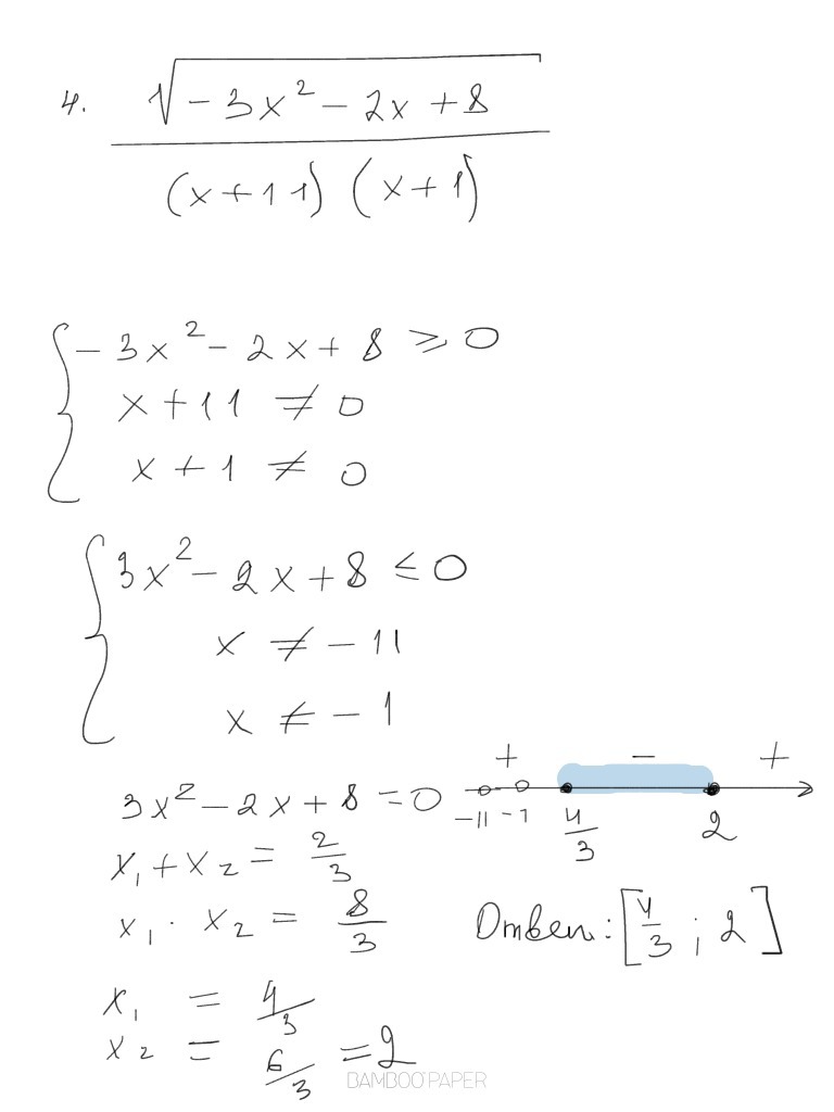
Решение данных заданий
Приложения:
Автор ответа: FreD1x1337
0
Спасибо ) мне бы еще 1 вариант , я сейчас выложу скоро тоже
Автор ответа: KseniaHarlequin
0
есть еще одно решение, если нужно - я уберу одно из уже добавленных и дам решение 8го номера. Тут лимит 5 файлов
Автор ответа: FreD1x1337
0
Ок
Автор ответа: KseniaHarlequin
0
добавила, ищите 8й номер в файлах
Автор ответа: FreD1x1337
0
http://znanija.com/task/19115521 вот кстати еще если сможешь , то реши плз )
Похожие вопросы
Предмет: Математика, автор: danilasitnikov2001
Предмет: Математика, автор: friganbodya
Предмет: Алгебра, автор: salienkoo