Предмет: Алгебра,
автор: смит616
помогите очень нужно))
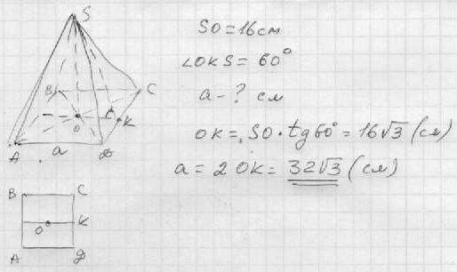
Приложения:
Ответы
Автор ответа:
0
)))))))))))))))))))))))))))))))
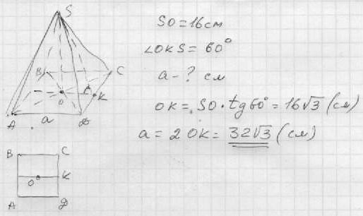
Приложения:
Похожие вопросы
Предмет: Математика,
автор: kirillbelinin4
Предмет: Биология,
автор: natalkaa0310
Предмет: Українська мова,
автор: tarkovskijivan845
Предмет: Биология,
автор: Joker368
Предмет: Математика,
автор: Криса12