Предмет: Алгебра,
автор: topoloko123234
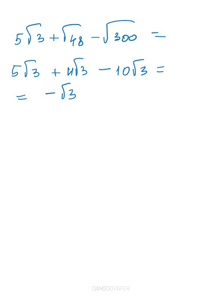
Необходимо упростить выражение: 5√3 + √48 - √300. Заранее спасибо!
Ответы
Автор ответа:
0
Решение данной задачи
Приложения:
Автор ответа:
0
Спасибо! Только там не + √300, а - √300. Ответ должен получиться - √3
Автор ответа:
0
Согласна, так и получится
Автор ответа:
0
Исходная картинка исправлена
Похожие вопросы
Предмет: Алгебра,
автор: maxym484
Предмет: Қазақ тiлi,
автор: madinatabynay
Предмет: Литература,
автор: gurovaju
Предмет: Физика,
автор: таймень
Предмет: История,
автор: sabin1072