Предмет: Математика,
автор: k1ex
Решите пожалуйста !!!!!
Приложения:
Ответы
Автор ответа:
0
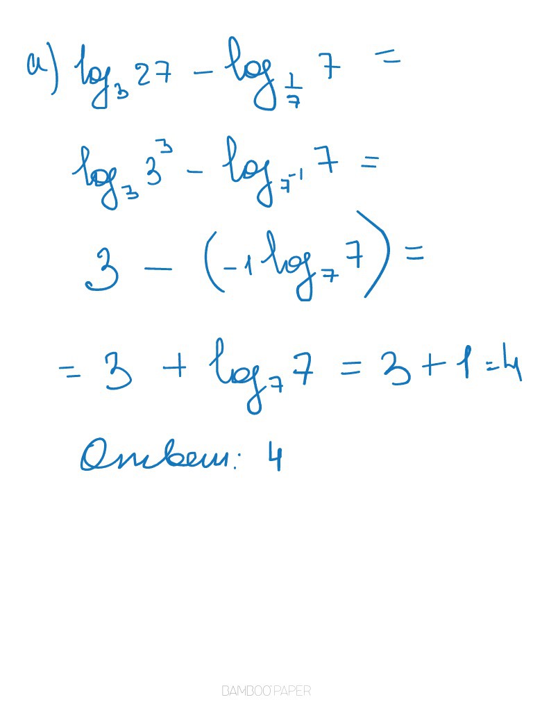
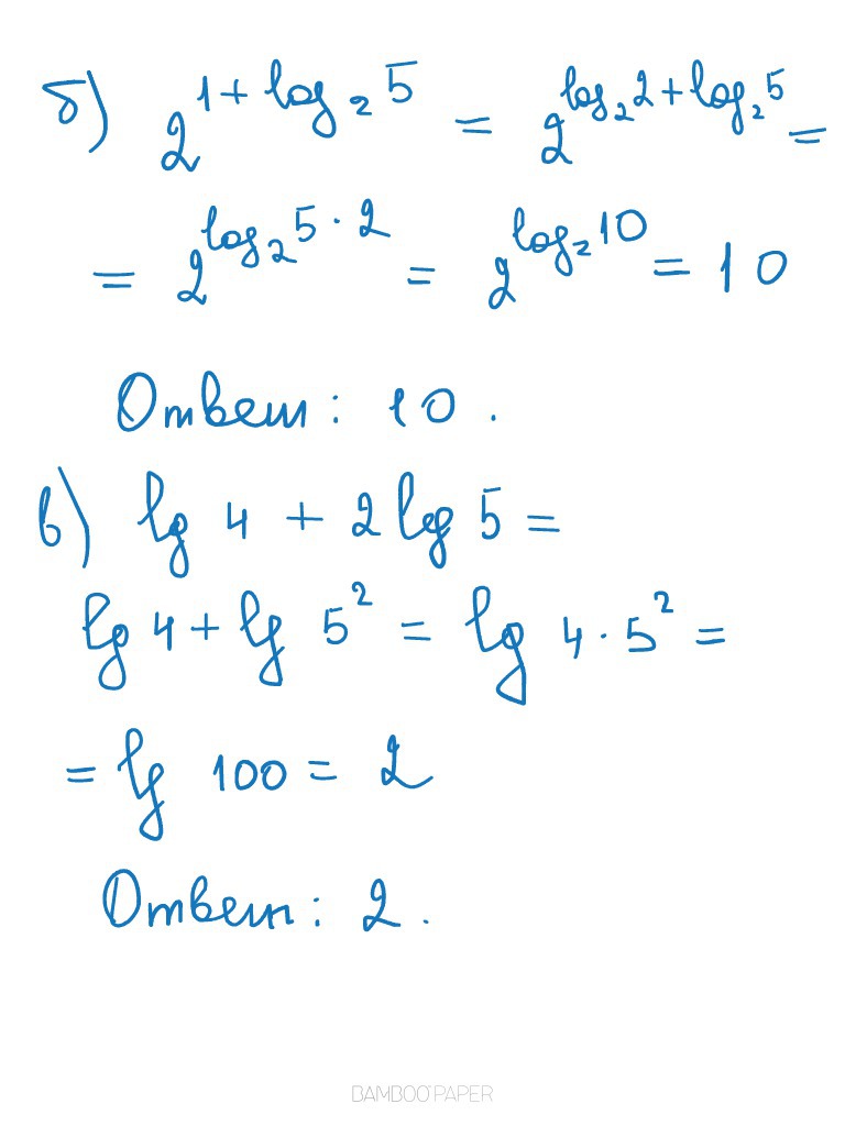
Вот решение Ваших заданий
Приложения:
Автор ответа:
0
Спасибо большое
Похожие вопросы
Предмет: Физика,
автор: prostodoshirak
Предмет: Математика,
автор: apanasenkodenis
Предмет: Немецкий язык,
автор: foxsociophat
Предмет: Алгебра,
автор: fakir64
Предмет: Алгебра,
автор: alinayakimova7