Предмет: Химия,
автор: Delipitora
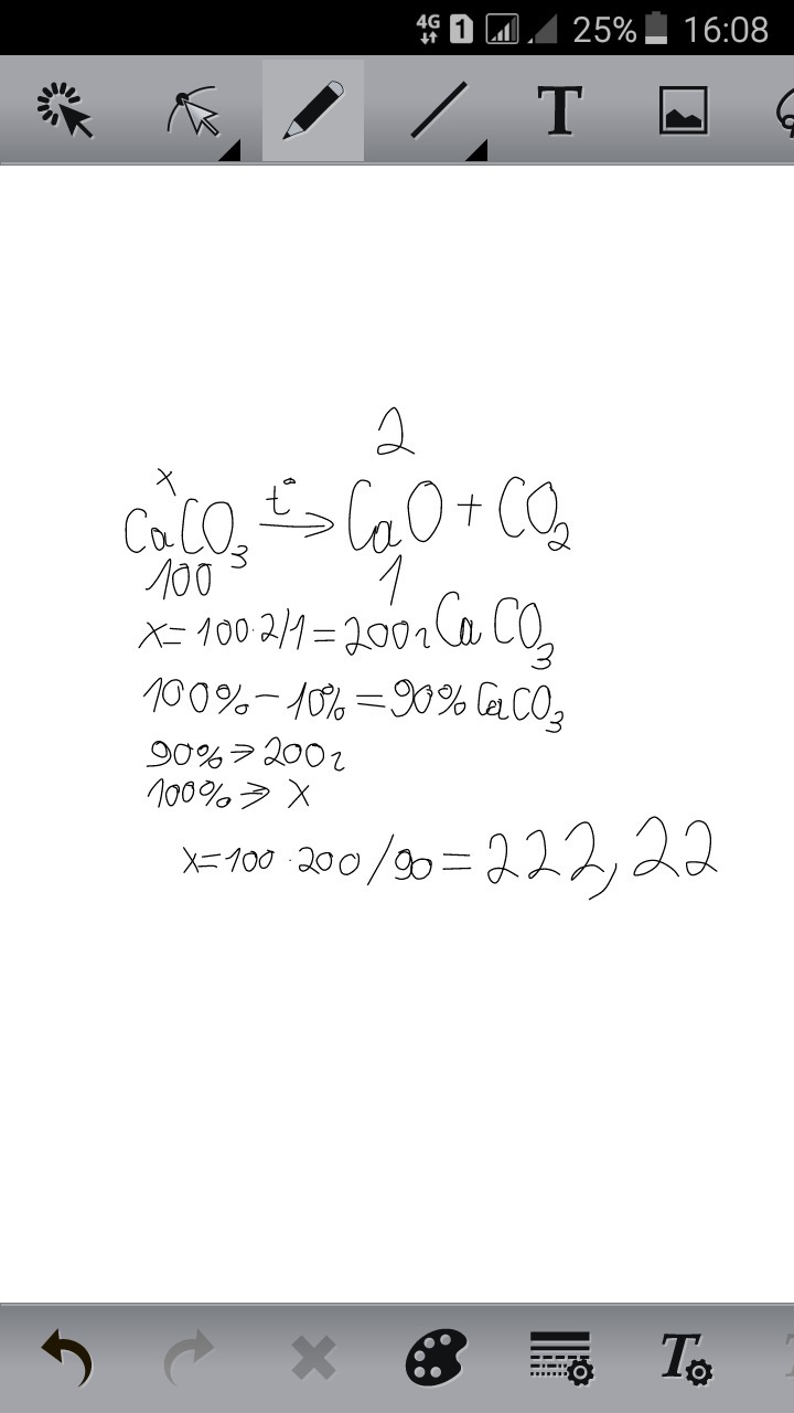
Определить сколько граммов карбоната кальция, содержащего 10% примесей, потребуется дня получения 2 моль оксида кальция реакцией разложения
Ответы
Автор ответа:
0
222,2222.....≈222.2г
Подробнее на фотке показано
Подробнее на фотке показано
Приложения:
Похожие вопросы
Предмет: Английский язык,
автор: ffreitaswo
Предмет: История,
автор: nataaasi
Предмет: Русский язык,
автор: saveliycompostelov
Предмет: Математика,
автор: Диана268
Предмет: Математика,
автор: яночка567123