Предмет: Математика,
автор: Аноним
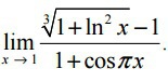
Подскажите, как решать такой предел, пожалуйста
Приложения:
Ответы
Автор ответа:
0
Это можно просто решить, прибегнув к тейлоровским разложениям:
(1+x)^p = 1+px+o(x^2),
cos(pi x)= -1 + (pi^2)/2 (x-1)^2+о(х-1)^3
Log[x]^2= (x-1)^2+o(x-1)^3, подставив все разложения, получим
Limit [(1+1/3 (x-1)^2 -1 + o(x-1)^3)/(1-1+(pi^2)/2 (x-1)^2) = Limit [(1/3 (x-1)^2 +o(x-1)^3)/ ((pi^2)/2 (x-1)^2+o(x-1)^3) = 2/(3pi^2)
(1+x)^p = 1+px+o(x^2),
cos(pi x)= -1 + (pi^2)/2 (x-1)^2+о(х-1)^3
Log[x]^2= (x-1)^2+o(x-1)^3, подставив все разложения, получим
Limit [(1+1/3 (x-1)^2 -1 + o(x-1)^3)/(1-1+(pi^2)/2 (x-1)^2) = Limit [(1/3 (x-1)^2 +o(x-1)^3)/ ((pi^2)/2 (x-1)^2+o(x-1)^3) = 2/(3pi^2)
Автор ответа:
0
Спасибо тебе большое.
Автор ответа:
0
Теперь этот метод понятен, сможешь решить другие подобные примеры?
Автор ответа:
0
Да, сейчас почитаю про него ещё. Спасибо
Автор ответа:
0
Вот и хорошо, успехов в дальшем
Похожие вопросы
Предмет: Геометрия,
автор: Aleksandr12308
Предмет: Химия,
автор: MiskevichSasha
Предмет: Алгебра,
автор: Elyzabeth
Предмет: География,
автор: v888777666v
Предмет: Обществознание,
автор: glazova1982