Предмет: Математика,
автор: amrax11
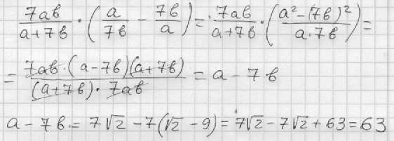
7ab/a+7b * (a/7b-7b/a)
При а= 7 корень из 2 б=корень из 2 - 9
Срочно пожалуйста
Ответы
Автор ответа:
0
_________________________
Приложения:
Автор ответа:
0
Спасибо большое
Похожие вопросы
Предмет: Математика,
автор: florezlive16
Предмет: Литература,
автор: dzintarsbogdanovs
Предмет: Математика,
автор: kstwrt
Предмет: География,
автор: koroleva6969
Предмет: География,
автор: MissisSmile2014