Предмет: Математика,
автор: Аноним
Подскажите, пожалуйста, принцип нахождения подобных пределов (Неопределённость 0/0)
Приложения:
Ответы
Автор ответа:
0
чтобы раскрыть неопределенность, нужно упростить пример
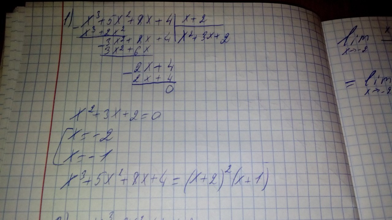
Если при х=-2 и числитель и знаменатель дроби обращаются в нуль, то х=-2- является корнем уравнений: х³+5х²+8х+4=0 и х³+3х²-4=0.
Это кубические уравнения, решаем его по схеме Горнера (фото 1 и фото 2) или, если такого не изучали, то деление столбиком на скобку (х-х0), где х0=-2
то есть (х-(-2))=(х+2) (фото 3 и фото 4)
после того как нашли корни, раскладываем на множители
ax³+bx²+cx+d=a(x-x₁)(x-x₂)(x-x₃)
затем можно подставлять (фото 5)
Если при х=-2 и числитель и знаменатель дроби обращаются в нуль, то х=-2- является корнем уравнений: х³+5х²+8х+4=0 и х³+3х²-4=0.
Это кубические уравнения, решаем его по схеме Горнера (фото 1 и фото 2) или, если такого не изучали, то деление столбиком на скобку (х-х0), где х0=-2
то есть (х-(-2))=(х+2) (фото 3 и фото 4)
после того как нашли корни, раскладываем на множители
ax³+bx²+cx+d=a(x-x₁)(x-x₂)(x-x₃)
затем можно подставлять (фото 5)
Приложения:
Автор ответа:
0
Спасибо тебе. Не стоило так напрягаться, мне просто нужно было понять, в каком направлении думать
Автор ответа:
0
Ты крут
Автор ответа:
0
рад помочь)
Похожие вопросы
Предмет: Математика,
автор: Аноним
Предмет: Русский язык,
автор: madmozele
Предмет: Математика,
автор: cnfctabvnctdcf
Предмет: География,
автор: ledyaevtanechk
Предмет: География,
автор: malinovskayavi