Предмет: Алгебра,
автор: MeaTKnife
Помогите отобрать корни на промежутке от [п/2 до 2П]
Задание на фото,срочно нужно
Приложения:
Ответы
Автор ответа:
0
решение во вложенном файле
Приложения:
Автор ответа:
0
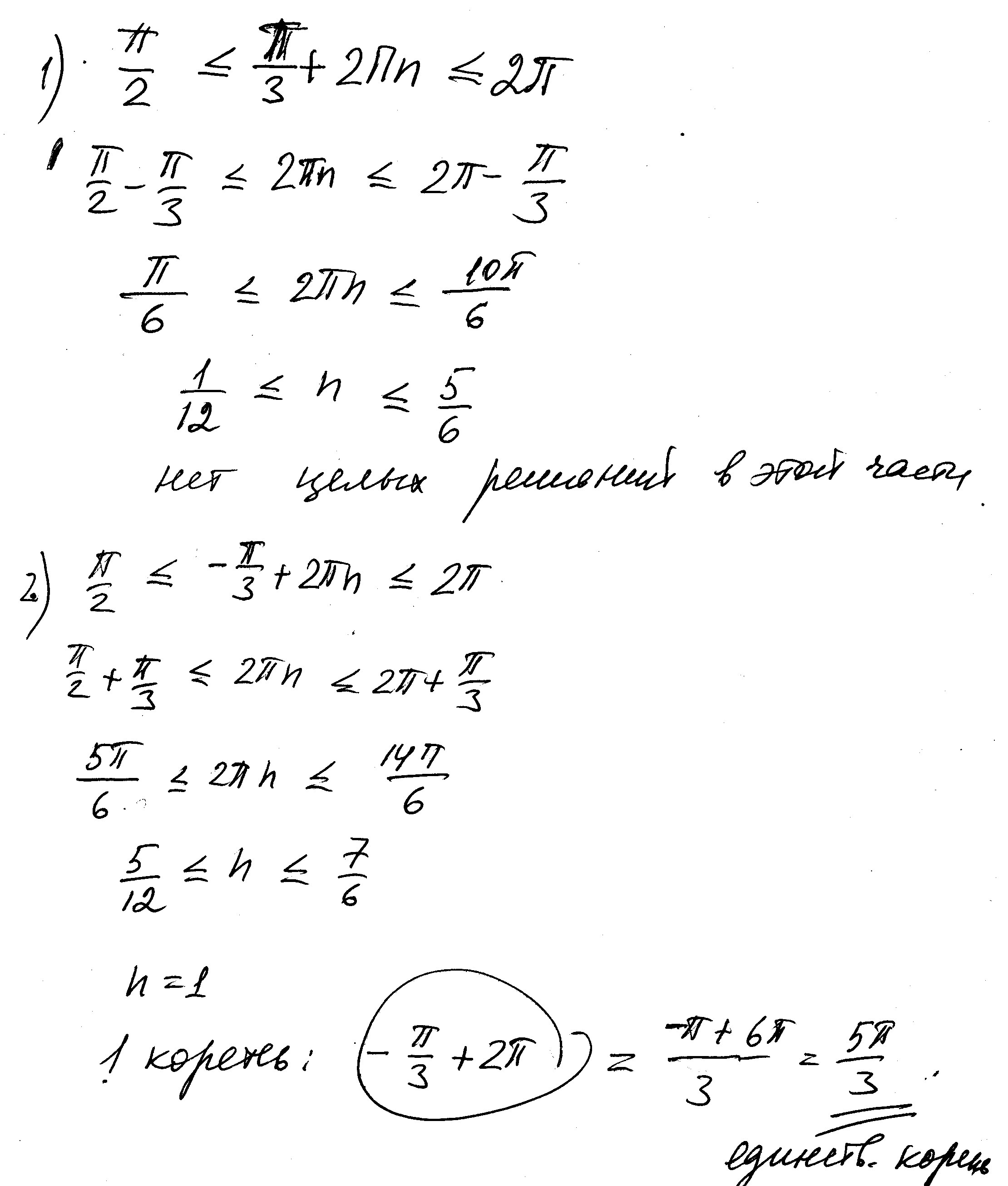
см. фото 1
чертим числовую окружность,отмечаем нужный промежуток (заштрихованная область), расставляем корни (двигаясь против часовой стрелки), в данный промежуток входит только один корень 5π/3
ответ:5π/3
если не понимаешь как работать с окружностью, то можно найти и другим способом (фото 2 и фото 3 )
чертим числовую окружность,отмечаем нужный промежуток (заштрихованная область), расставляем корни (двигаясь против часовой стрелки), в данный промежуток входит только один корень 5π/3
ответ:5π/3
если не понимаешь как работать с окружностью, то можно найти и другим способом (фото 2 и фото 3 )
Приложения:
Похожие вопросы
Предмет: География,
автор: kyrylo267
Предмет: Литература,
автор: 0686358509
Предмет: Физика,
автор: glebkorpejcik
Предмет: Химия,
автор: krishtaloleksa
Предмет: Обществознание,
автор: Ярославна2014