Предмет: Математика,
автор: unwnow
решите, пожалуйста!
очень срочно(
Приложения:
Ответы
Автор ответа:
0
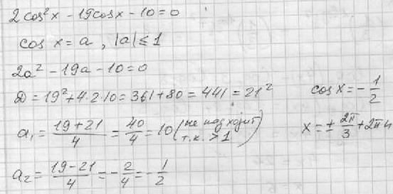
замена : cosx=t, где t∈[-1;1]
2t^2-19t-10=0 D=361+80=441
t=(19+21)/4=10 не подходит
t=(19-21)/4= - 0.5 ⇒cosx=-0.5 x=+-(π-π/3)+2πn, где n∈Z
x=+-2π/3+2πn, n∈Z
2t^2-19t-10=0 D=361+80=441
t=(19+21)/4=10 не подходит
t=(19-21)/4= - 0.5 ⇒cosx=-0.5 x=+-(π-π/3)+2πn, где n∈Z
x=+-2π/3+2πn, n∈Z
Автор ответа:
0
спасибо
Автор ответа:
0
_________________________
Приложения:
Автор ответа:
0
спасибо с:
Похожие вопросы
Предмет: Математика,
автор: BadGirls09
Предмет: Геометрия,
автор: nastyakaretnik
Предмет: Биология,
автор: KaTiaSha5
Предмет: Математика,
автор: hasaeva02
Предмет: Математика,
автор: nikitaosipov20