Предмет: Математика,
автор: badin19981
15/(4+3x-x2)больше илировно 1 помогите плиз
Ответы
Автор ответа:
0
Перепишем в удобном виде:

Решаем по частям:


⇒
⇒ корней нет ⇒
для любых 

⇒ 
Чертим числовую ось и наносим выколотые точки
и 
Последовательность знаков:
Записываем ответ:
Решаем по частям:
Последовательность знаков:
Записываем ответ:
Автор ответа:
0
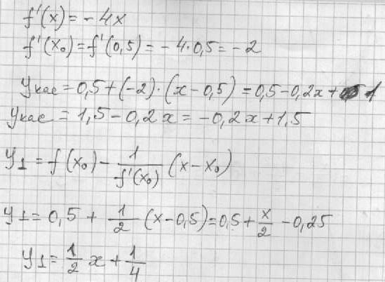
Надеюсь, что еще актуально!!!!!!!!!!!!!!!!!!!!!!!!
Приложения:
Похожие вопросы
Предмет: Биология,
автор: bibisorayigitaliyeva
Предмет: Русский язык,
автор: pocercat
Предмет: Литература,
автор: darkfire424
Предмет: Литература,
автор: garikanna
Предмет: Физика,
автор: ilona11252001