Предмет: Физика, автор: Денис12345663

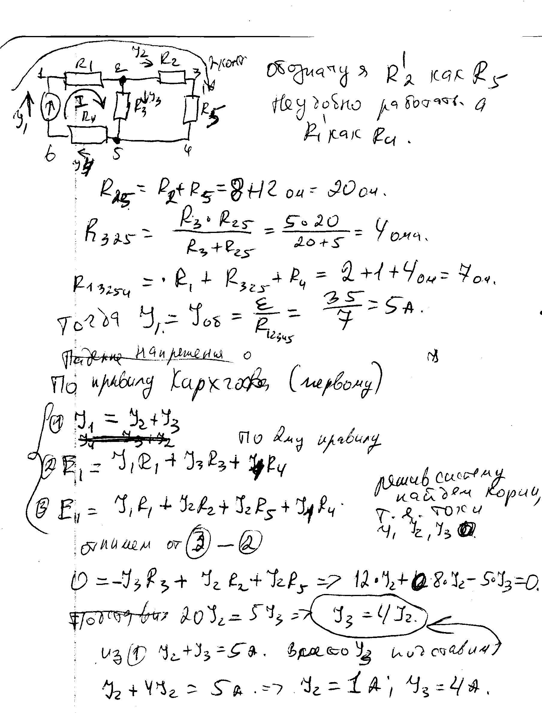
определить токи в ветвях цепи, если R1=2 ом, R1=1 ом,R2=8 ом, R2=12 ом, R3=5 ом, E=35 B.

Приложения:

Ответы

Автор ответа: ужнеужели
0
решение в скане............  А правило Кирхгофа проходят в школе? Добавлю, на всякий случай более простое решение.
Приложения:
Автор ответа: Денис12345663
0
я студент 2 курса
Автор ответа: ужнеужели
0
Вот, как. Зря значит старался. Удачи Вам.
Автор ответа: Денис12345663
0
спасибо
Похожие вопросы
Предмет: Математика, автор: visahiw691
Предмет: Немецкий язык, автор: LakyNiki
Предмет: Английский язык, автор: gracenkoanna
Предмет: Математика, автор: nikolai8685