Предмет: Математика,
автор: ЛюЦиФеР666000
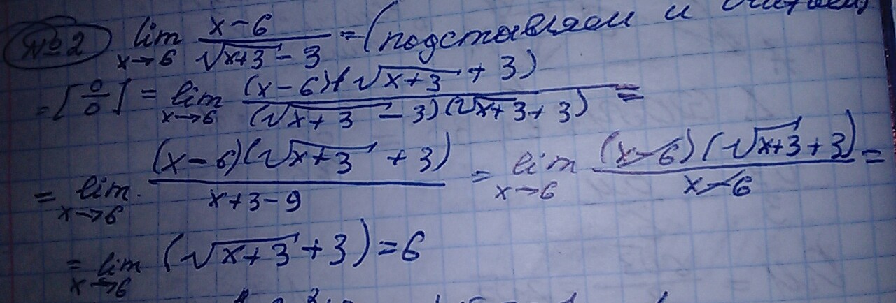
Вот примерчик, уже с решением. Мне нужно его отчитать, но не знаю, что говорить. SOS!
Приложения:
Ответы
Автор ответа:
0
1. подставить предельное значение, получим неопределенность (0/0)
2. числитель и знаменатель дроби домножить на выражение сопряженно числителю или знаменателю.
выражения (а-b) и (а+b)называются сопряженными. (a-b)*(a+b)=a²-b²
3. преобразовать полученные выражения(умножить, привести подобные или вынести за скобки общий множитель, если это необходимо. это писать не нужно)
4. сократить дробь на множитель ,предел которого равен 0.
5. вычислить предел полученного выражения
2. числитель и знаменатель дроби домножить на выражение сопряженно числителю или знаменателю.
выражения (а-b) и (а+b)называются сопряженными. (a-b)*(a+b)=a²-b²
3. преобразовать полученные выражения(умножить, привести подобные или вынести за скобки общий множитель, если это необходимо. это писать не нужно)
4. сократить дробь на множитель ,предел которого равен 0.
5. вычислить предел полученного выражения
Похожие вопросы
Предмет: Немецкий язык,
автор: LakyNiki
Предмет: География,
автор: plakhotnikkira
Предмет: Английский язык,
автор: Аноним
Предмет: Физика,
автор: madvilka