Предмет: Математика,
автор: Maxim4
Решить уровнения:
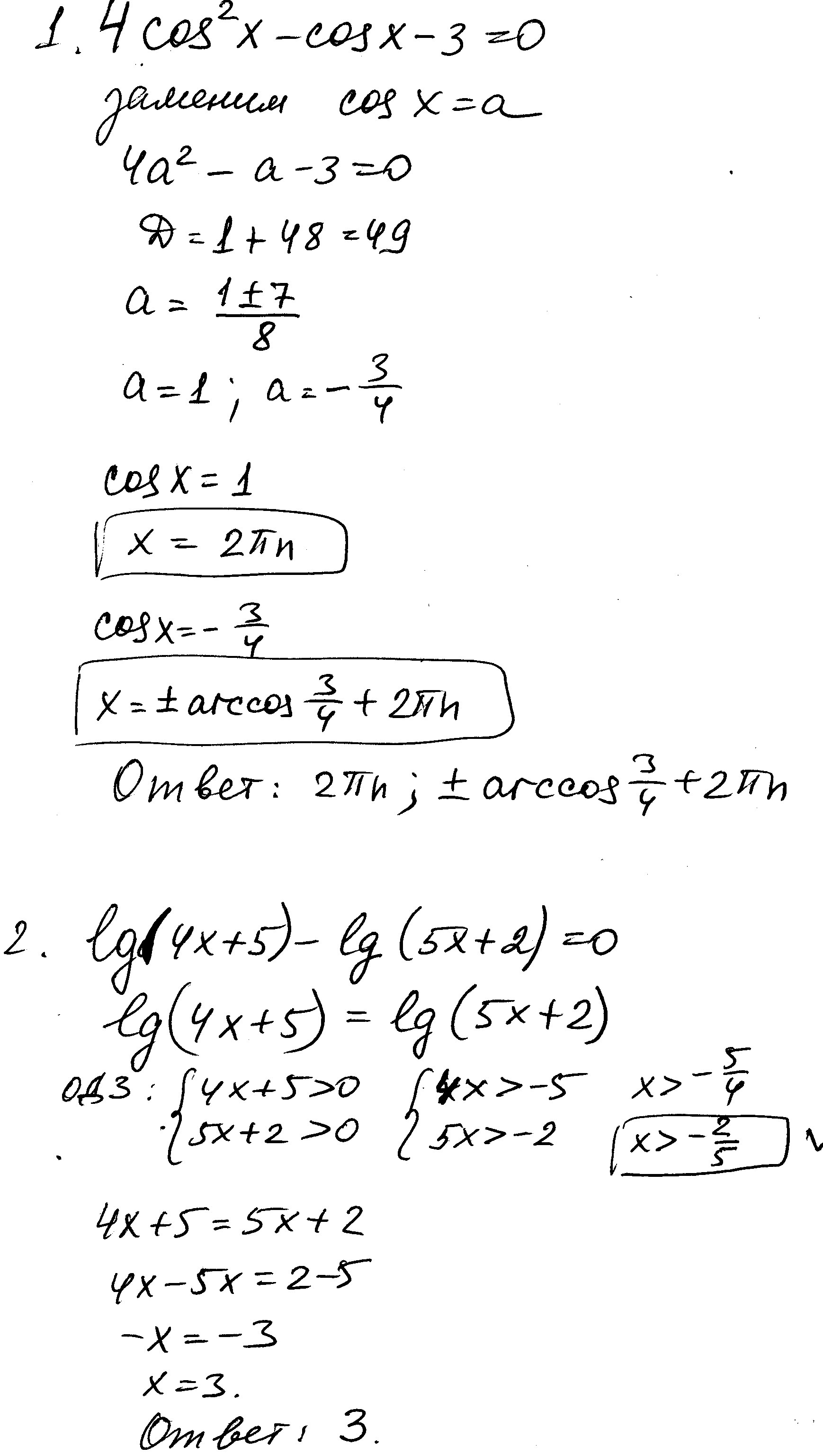
4cos^2x-cosx-3=0
Lg(4x+5)-lg(5x+2)=0
2^x+2 * 5^x = 400
Ответы
Автор ответа:
0
решение первых двух в файле
Приложения:
Похожие вопросы
Предмет: Алгебра,
автор: annapazij31
Предмет: Право,
автор: dysia7478
Предмет: Алгебра,
автор: kkuzeev72
Предмет: География,
автор: radioactiveid
Предмет: Математика,
автор: lya1974