Предмет: Математика,
автор: ChemistMarine
Помогите решить с подстановкой и модулем задание, пожалуйста
Приложения:
Ответы
Автор ответа:
0
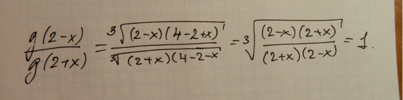
просто подставляешь вместо х то, что тебя просят
получится вот так
получится вот так
Приложения:
Похожие вопросы
Предмет: Английский язык,
автор: unlockrat
Предмет: Алгебра,
автор: pavel0574
Предмет: Математика,
автор: moskalevgleb63
Предмет: Алгебра,
автор: АлинаГецман
Предмет: Алгебра,
автор: Ryapolovatanya