Предмет: Математика,
автор: Duesta
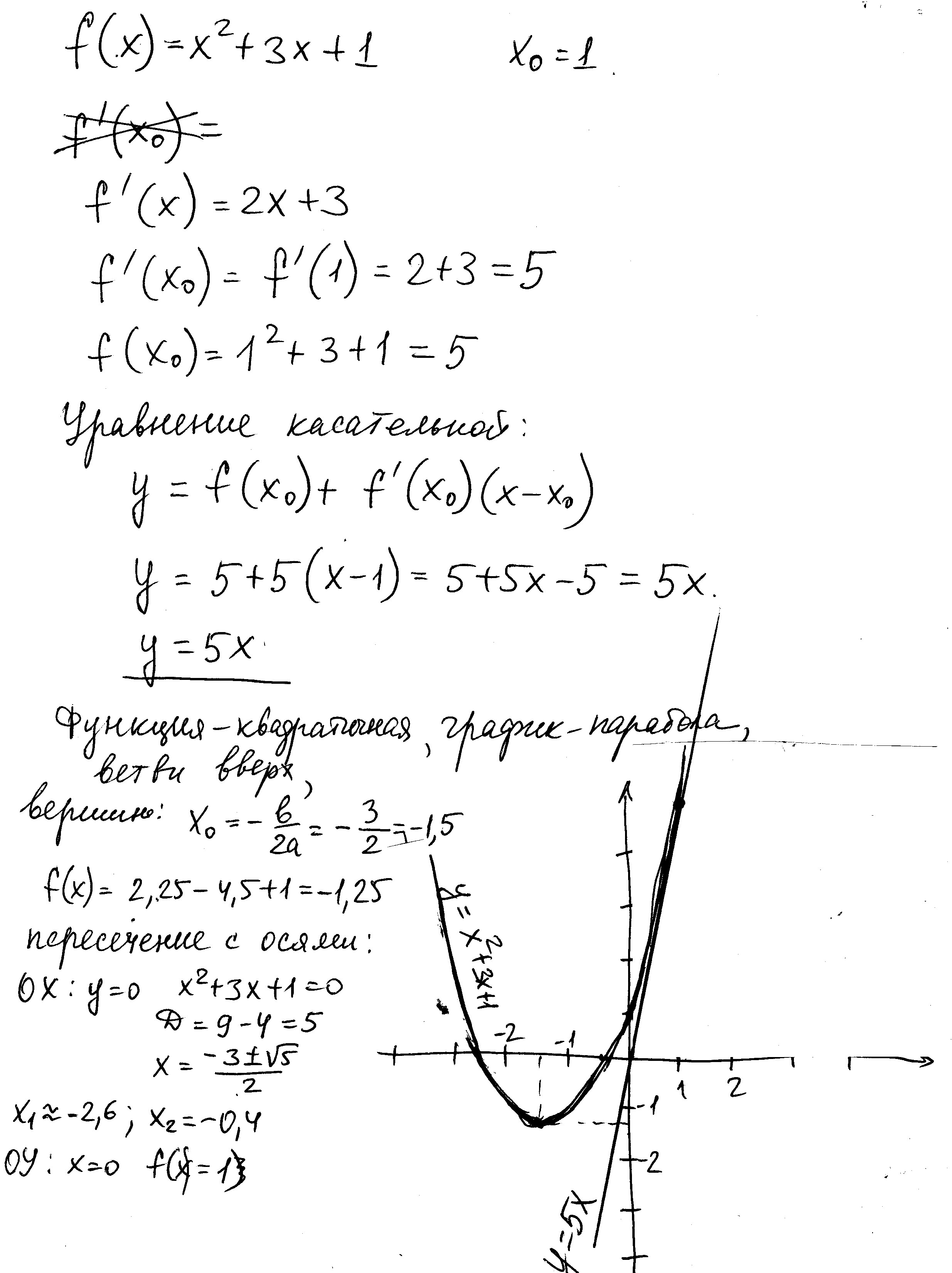
составьте уравнение касательной к графику функции f(x)=x^2+3x+1 в точке X0=1
Составить график функции и соответствующей касательной
Ответы
Автор ответа:
0
решение во вложенном файле
Приложения:
Автор ответа:
0
спасибо огромное
Автор ответа:
0
рисунок приблизительный, нарисуй поточнее - точка справа вверху (точка касания) имеет координаты (1;5)
Похожие вопросы
Предмет: Математика,
автор: maksim123wwww
Предмет: Английский язык,
автор: vishkovMT
Предмет: Алгебра,
автор: ссд757
Предмет: География,
автор: offaxis