Предмет: Математика,
автор: nagibatornematana
Исследовать функцию на непрерывность и построить график
Приложения:
Ответы
Автор ответа:
0
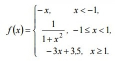
у=-х,x<-1
прямая
х -2 -3
у 2 3
у=1/(1+х²),-1≤x<1
парабола
x -1 -1/2 0 1/2 1
y 0,5 0,8 1 0,8 0,5
y=-3x+3,5 x≥1
прямая
х 1 2
у 0,5 -2,5
При х=-1 разрыв
прямая
х -2 -3
у 2 3
у=1/(1+х²),-1≤x<1
парабола
x -1 -1/2 0 1/2 1
y 0,5 0,8 1 0,8 0,5
y=-3x+3,5 x≥1
прямая
х 1 2
у 0,5 -2,5
При х=-1 разрыв
Приложения:
Похожие вопросы
Предмет: Математика,
автор: 1bomjkompot1
Предмет: Английский язык,
автор: aliviaemelianova
Предмет: Математика,
автор: romanpogodin31
Предмет: Биология,
автор: kopysova03
Предмет: Физика,
автор: vera8585