Предмет: Математика,
автор: Ирина11111890
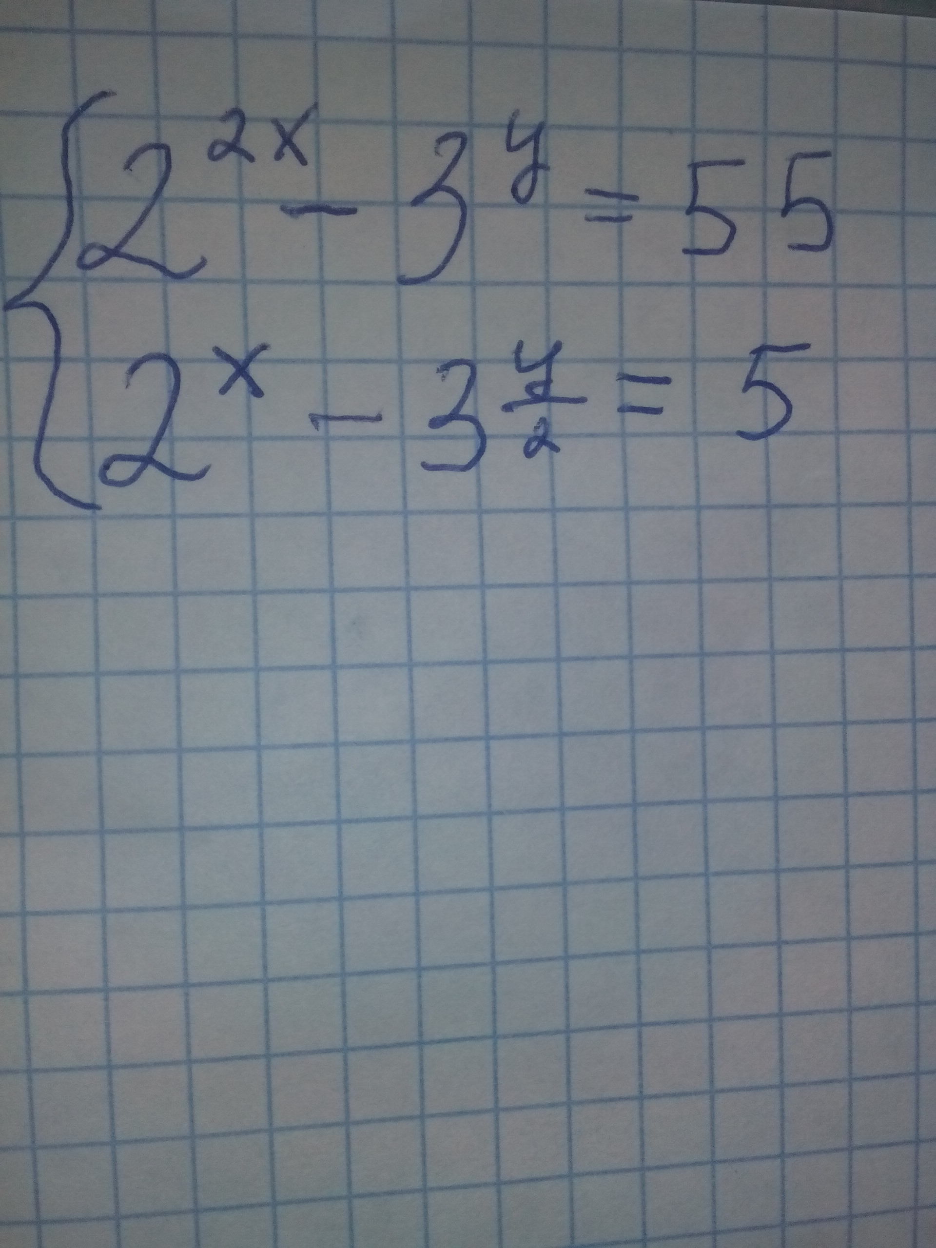
Решите систему уравнения
Приложения:
Ответы
Автор ответа:
0
решение в приложении
Приложения:
Автор ответа:
0
Спасибо огромное
Похожие вопросы
Предмет: Геометрия,
автор: Rkkddvjsiskkdnf
Предмет: Математика,
автор: fhgfhhgj
Предмет: Алгебра,
автор: glaffenc123
Предмет: Математика,
автор: valentinnazaro
Предмет: Физика,
автор: швы8888