Предмет: Алгебра,
автор: michnodima
Решить задачи с фотографии.
Очень жду решения.
Много баллов за правильное подробное решение!
Приложения:
Ответы
Автор ответа:
0
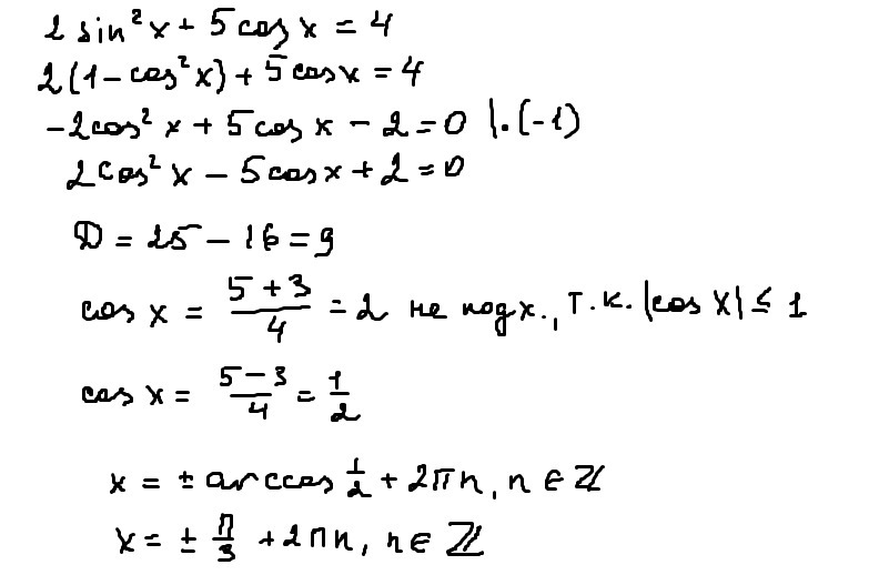
Решениеееееееееееееееее
Приложения:
Автор ответа:
0
еще 10 задачку пожалста
Автор ответа:
0
см 2 файл
Автор ответа:
0
Да , все вижу , спасибо
Автор ответа:
0
)))))))))
Похожие вопросы
Предмет: Математика,
автор: kurasvita407
Предмет: Биология,
автор: Аноним
Предмет: Русский язык,
автор: wowowowo1
Предмет: Математика,
автор: настасьюшкамяу
Предмет: Математика,
автор: dimasik030373