Предмет: Математика,
автор: Revenge355
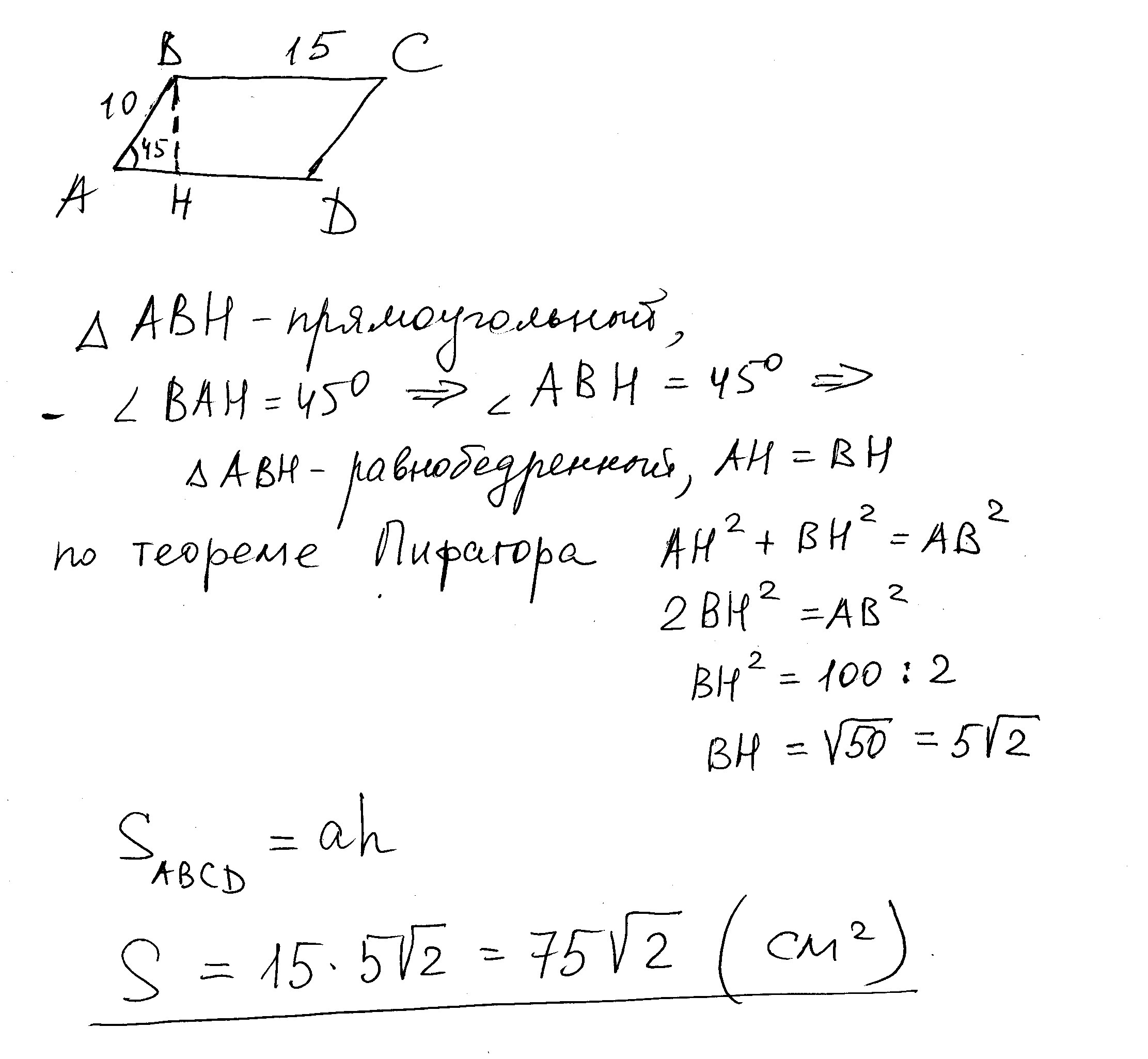
В параллелограмме смежные стороны 10 и 15 см.Острый угол 45 градусов .Найти площадь.
Ответы
Автор ответа:
0
Площадь пар-ма найдем по формуле
Sp = absinx
10*15*2^1/2 /2 = 75*2^1/2 (75 корней из 2) см^2
Sp = absinx
10*15*2^1/2 /2 = 75*2^1/2 (75 корней из 2) см^2
Автор ответа:
0
Большое спасибо)
Автор ответа:
0
решение на листочке во вложении
Приложения:
Автор ответа:
0
Большое спасибо !)
Похожие вопросы
Предмет: Алгебра,
автор: leonlega330
Предмет: Математика,
автор: rena51
Предмет: Окружающий мир,
автор: milanautegalieva8189
Предмет: Алгебра,
автор: kion14
Предмет: Информатика,
автор: АнгелинаЧугина