Предмет: Математика,
автор: лооол9
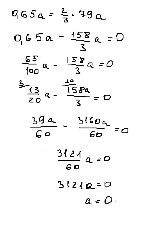
65 от а равны 2/3 от числа (79а)
Ответы
Автор ответа:
0
!!!!!!!!!!!!!!!!!!!!!!!!!!!!!!!!!!!!!!!!!!!!!!!!!
Приложения:
Автор ответа:
0
Лол
Похожие вопросы
Предмет: Геометрия,
автор: asdkasdkasdkasdkasdk
Предмет: Русский язык,
автор: azimjonzoyirov
Предмет: Биология,
автор: Аноним
Предмет: Математика,
автор: ubkmvfyjdfbh