Предмет: Математика, автор: sunowl

Пожалуйста, помогите решить! С полным решением напишите! Буду очень благодарна

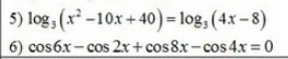
Приложения:

Ответы

Автор ответа: Миленчик000
0
6 задание : co6x-cos2x+cos8x-cos4x=0 выносим cos2x и получается следующее: cos2x(3-1+4-2)=0 и из этого следует cos по основанию 2 числа 4 = 2
Приложения:
Похожие вопросы
Предмет: Литература, автор: dlyafeisita25
план для этого эссе, его название "Жизненные уроки рассказа уроки французского"

Рассказ «Уроки французского» основан на событиях из жизни самого автора. Он посвятил его матери другого русского писателя А. Вампилова, которая в какой-то мере является прототипом учительницы французского языка Лидии Михайловны, героини рассказа. Именно она преподала главному герою несколько уроков доброты, которые он запомнил на всю свою жизнь.

Главный герой рассказа оказался в очень трудной жизненной ситуации. Оставшись один в чужом поселке, он вынужден был голодать, потому что его продукты тайком съедал сын хозяйки. Герой искал выход из создавшейся ситуации. На короткое время ему помогла игра на деньги. Но как только он стал играть лучше остальных и постоянно выигрывал, его избили и больше не принимали в игру. А мальчику нужен был только рубль, чтобы покупать молоко.

Лидия Михайловна не сразу узнала о проблемах своего ученика. А как только узнала, так решила помочь ему во что бы то ни стало. Она назначила ему дополнительные занятия, стала приглашать его к себе на квартиру. Как только мальчик приходил, Лидия Михайловна собирала на стол ужинать. Но герой никогда не садился за стол, потому что не принято было в их деревне есть у чужих и потому что стеснялся: Лидия Михайловна казалась герою какой-то необыкновенной.

Лишь позже он понял, что учительница делала это, чтобы накормить его. Когда ее попытка не удалась, она придумала другую хитрость. Лидия Михайловна прислала герою посылку с макаронами от имени его матери. Но и тут у нее ничего не получилось, потому что в деревне героя никогда не продавали макарон.

Но неудачи не сломили Лидию Михайловну. Она хотела помочь герою, сделать его жизнь легче. Она поняла, что мальчик не возьмет то, что не заработал сам, то, что ему не принадлежит. И тогда Лидия Михайловна нашла способ. Она стала играть с мальчиком на деньги в чику, причем сама обучила его этой игре. Для тех лет это было очень серьезное преступление. Но Лидия Михайловна сознательно идет на нарушение закона, потому что это был единственный способ помочь своему ученику, накормить его.

Вынужденная уехать в родной город, Лидия Михайловна и там не забыла о том, что мальчик голодает. Она прислала ему макароны и три яблока, которых мальчик никогда не ел. Они видел-то яблоки только на картинках. Вот эти уроки доброты, стремление прийти на помощь другому человеку, несмотря ни на что, герой запомнил на всю жизнь.​