Предмет: Математика,
автор: Anrelo
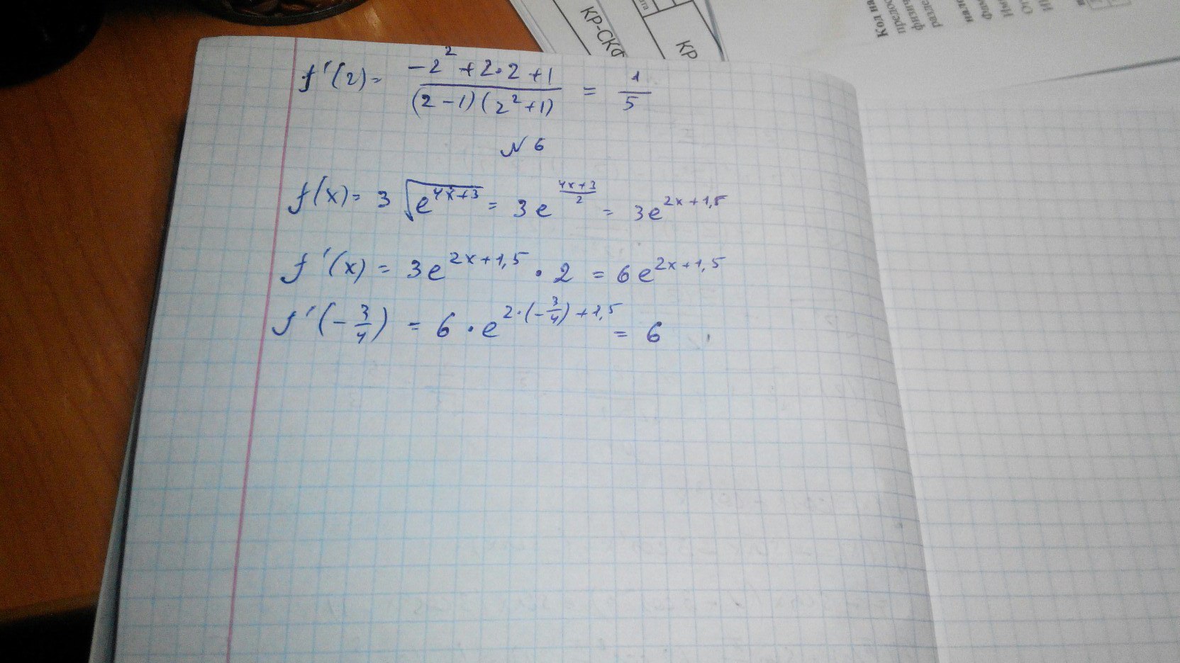
много баллов. Найти производную функции при данном значении аргумента ( фото)
хотя бы 3-4 функции. заранее спасибо
Приложения:
Ответы
Автор ответа:
0
Решение на картинках.
Приложения:
Автор ответа:
0
извините, а есть 2 изображение? там кажется еще другие примеры решены. большое вам спасибо!!
Автор ответа:
0
Ну, я все примеры решил (6 штук). Тут три изображения.
Автор ответа:
0
Извините, фото не отобразилось сначала. Очень помогли!!
Автор ответа:
0
Пожалуйста :)
Похожие вопросы
Предмет: Химия,
автор: kravcenkosasa028
Предмет: Информатика,
автор: GARRILA
Предмет: Биология,
автор: byasyadog
Предмет: Биология,
автор: yagodka2001