Предмет: Математика,
автор: nadysha1432
помогите пожалуйста...
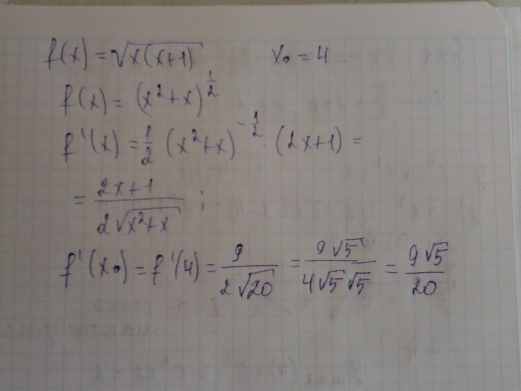
Чему равна производная функции : f(x) =корень из x(x+1) в точке x0=4
Ответы
Автор ответа:
0
Применены формулы дифференцирования
Приложения:
Похожие вопросы
Предмет: Английский язык,
автор: katerinaturina08
Предмет: Окружающий мир,
автор: Tariksquad
Предмет: Математика,
автор: irunika
Предмет: Математика,
автор: ahmiev112