Предмет: Математика,
автор: Аноним
написать только ответ
Приложения:
Ответы
Автор ответа:
0
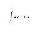
Интеграл равен
1 - 2/e
1 - 2/e
Похожие вопросы
Предмет: Английский язык,
автор: perishalilova
Предмет: Українська мова,
автор: mihajluksofia07
Предмет: Литература,
автор: dashmat1062005
Предмет: Физика,
автор: 148898