Предмет: Математика,
автор: Аноним
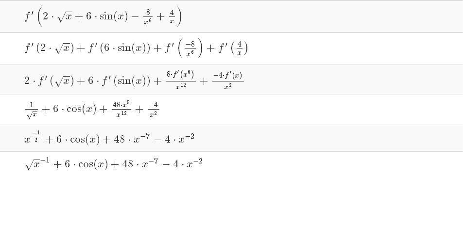
Помогите решить производные функции.
Приложения:
Ответы
Автор ответа:
0
1) f'=72x⁵-14x-0=72x⁵-14x=2x(36x⁴-7)
Приложения:
Похожие вопросы
Предмет: Математика,
автор: alisastognejeva
Предмет: География,
автор: svok90
Предмет: Физика,
автор: potyraymyhail
Предмет: Геометрия,
автор: kftpls
Предмет: Биология,
автор: elizavetkagord