Предмет: Алгебра,
автор: tranadkoanasta
Решите, пожалуйста!
Приложения:
Ответы
Автор ответа:
0
cos²α/ctg²α+sin²α/tg²α=sin²α+cos²α=1
Автор ответа:
0
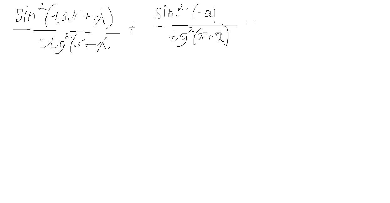
sin²(3π/2+α)/ctg²(π+α)+sin²(-α)/tg²(π+α)
Решение:
sin²(3π/2+α)=cos²α, ctg²(π+α)= ctg²α, sin²(-α)=sin²α, tg²(π+α)=tg²α.
Тогда: cos²α/ ctg²α+sin²α/tg²α= cos²α/ сos²α/sin²α+sin²α/sin²α/cos²α=
= sin²α+cos²α=1.
Ответ:1
Решение:
sin²(3π/2+α)=cos²α, ctg²(π+α)= ctg²α, sin²(-α)=sin²α, tg²(π+α)=tg²α.
Тогда: cos²α/ ctg²α+sin²α/tg²α= cos²α/ сos²α/sin²α+sin²α/sin²α/cos²α=
= sin²α+cos²α=1.
Ответ:1
Похожие вопросы
Предмет: История,
автор: Nemislimoe
Предмет: История,
автор: Аноним
Предмет: Геометрия,
автор: imsadist5
Предмет: Математика,
автор: dimanleskov555
Предмет: Литература,
автор: vipkisa85