Предмет: Алгебра,
автор: yyukalo
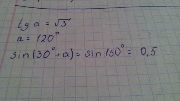
найдите синус(30+а) если тангенс ревен минус квадратный корен из 3 и это 2 четверт
Ответы
Автор ответа:
0
Должно быть верно))))
Приложения:
Похожие вопросы
Предмет: Английский язык,
автор: fffdimabid77
Предмет: Геометрия,
автор: vikulya6242
Предмет: География,
автор: dasakravcenko467
Предмет: Физика,
автор: nilika88839
Предмет: Физика,
автор: inkarqwer