Предмет: Физика, автор: Аноним

 1.На какое расстояние по горизонтали переместится частица,имеющая массу 1мг и заряд 2нКл,за время 3с в однородном горизонтальном электрическом поле напряженностью 50 Вм,если начальная скорость частицы равна 0. С рисунком и желательно с объяснением!

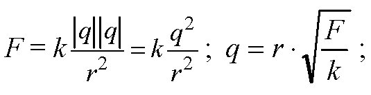
2. Два шарика, расположенные на расстоянии 10 см друг от друга, имеют одинаковые отрицательные заряды и взаимодействуют с силой 0,23м Н. Найти число избыточных электронов на каждом шарике.

 

  С рисунком и желательно с объяснением!

Ответы

Автор ответа: WiLdToNnY
0

№2. Решение во вложении..!

 

Приложения:
Автор ответа: Аноним
0

1)

дано

Vo= 0 м/с

t = 3c

q=2 нКл = 2*10^-9 Кл

m= 1 мг  = 10^-6 кг

E =50 В/м

----------------

d - ?

 

решение

нужно определить расстояние по горизонтали, значит силу тяжести не учитывать

частица движется равноускоренно     d = Vot +at^2/2 = at^2/2

ускорение  a = 2d / t^2

сила  по 2-му закону Ньютона F=ma

работа поля по перемещению частицы  A= F*d=m*2d / t^2 *d = m*2*d^2 / t^2  (1)

разность потенциалов U=E*d

работа также по другой формуле A=q*U=q*E*d  (2)

приравняем  (1) (2)

m*2*d^2 / t^2   = q*E*d

 d =q*E*t^2 / (2*m)

подставим значения из условия

d = 2*10^-9*50*3^2 / (2*10^-6)= 0.45 м = 45 см

 

ответ 0.45 м = 45 см

 

Приложения:
Похожие вопросы
Предмет: Математика, автор: sxacff