Предмет: Геометрия,
автор: unicormica
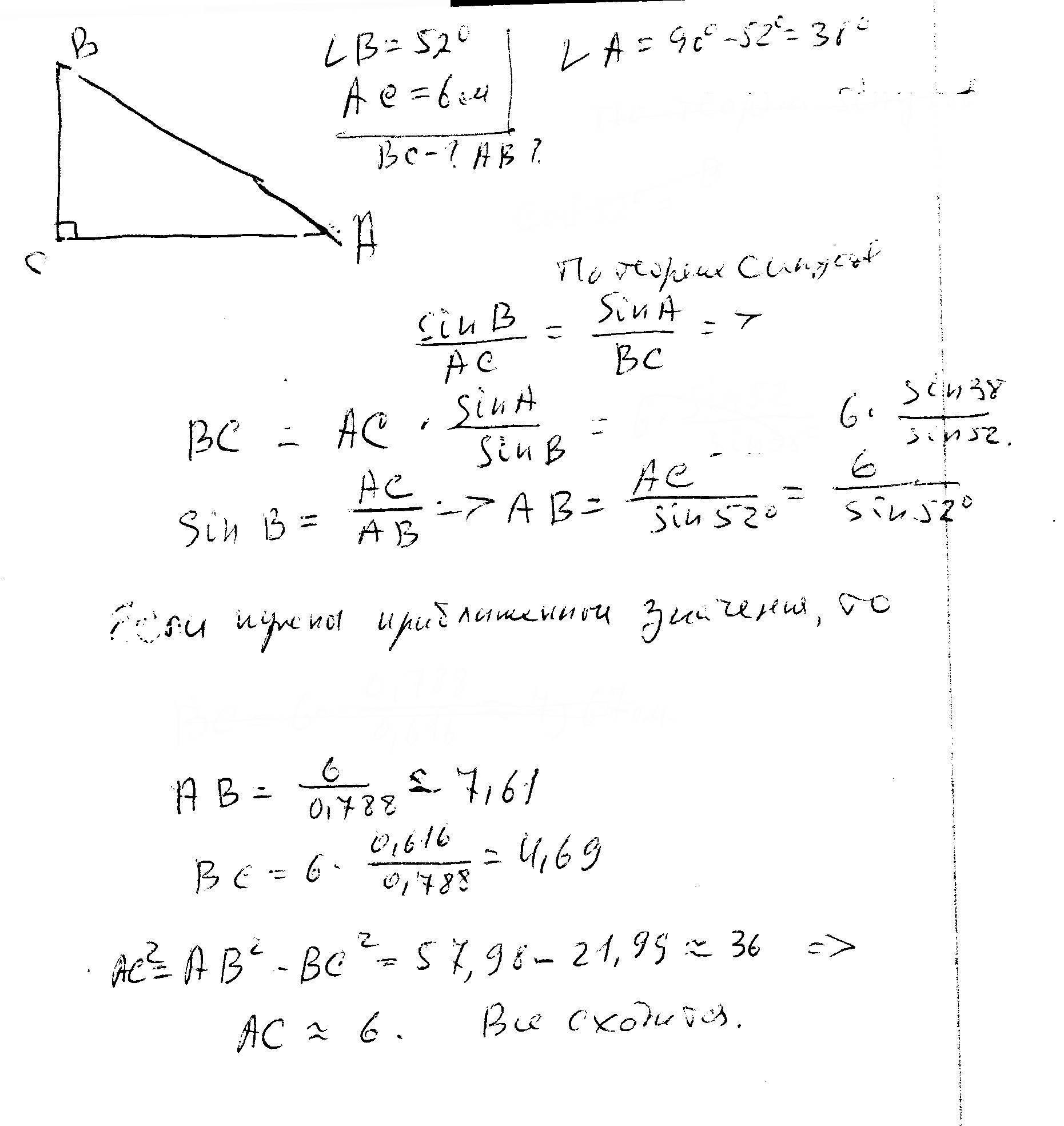
В прямоугольном треугольнике ABC ( Найти катет BC и гипотенузу AB.
Ответы
Автор ответа:
0
решение в скане...........
Приложения:
Похожие вопросы
Предмет: Русский язык,
автор: giviogfgfgfffical
Предмет: Алгебра,
автор: Tatice
Предмет: Алгебра,
автор: annazhandar
Предмет: Математика,
автор: soniateterina