Предмет: Математика,
автор: Sweep00
Решите уравнения:
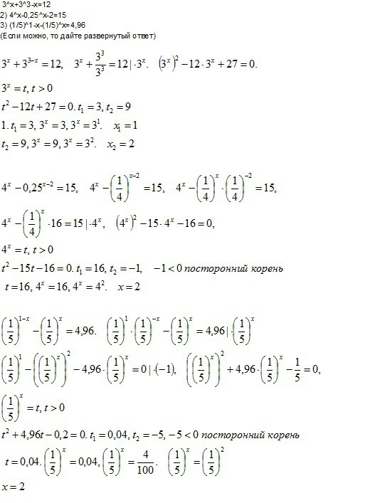
1) 3^х+3^3-х=12
2) 4^х-0,25^х-2=15
3) (1/5)^1-х-(1/5)^х=4,96
(Если можно, то дайте развернутый ответ)
Ответы
Автор ответа:
0
решение во вложении--------------
Приложения:
Похожие вопросы
Предмет: Русский язык,
автор: lanare
Предмет: Геометрия,
автор: wefwfwfwef
Предмет: Алгебра,
автор: kirkull
Предмет: Математика,
автор: rikladi
Предмет: Литература,
автор: colgate424