Предмет: Математика,
автор: Аноним
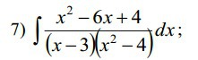
помогите найти интеграл (x^2-6x+4)/((x-3)(x^2-4))
Приложения:
Ответы
Автор ответа:
0
Решение на фотографии
Приложения:
Автор ответа:
0
спасибо большое
Автор ответа:
0
Пожалуйста)
Похожие вопросы
Предмет: Математика,
автор: vlasenkosveta2008
Предмет: Математика,
автор: Аноним
Предмет: Музыка,
автор: jhhhhhhik
Предмет: Математика,
автор: abuzyarov2002
Предмет: Литература,
автор: romaKalinin