Предмет: Математика,
автор: KoDee
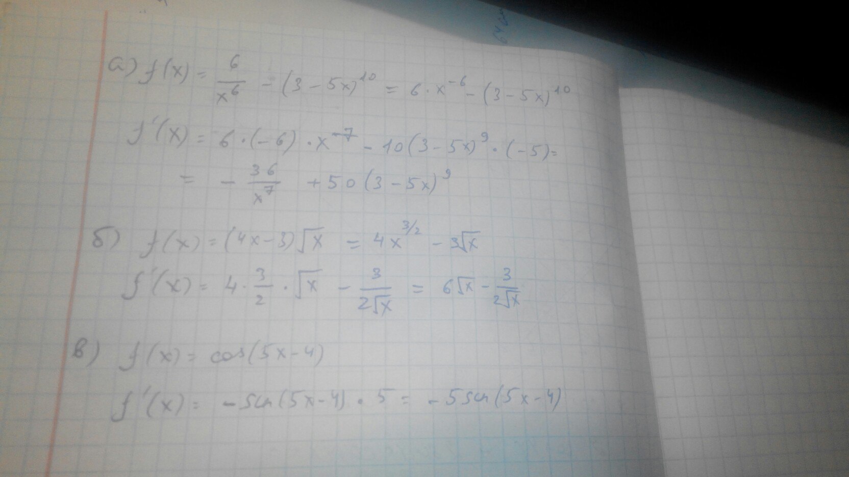
3)Найдите производные следующих функций:
Приложения:
Ответы
Автор ответа:
0
Решение на картинке.
Приложения:
Похожие вопросы
Предмет: История,
автор: sandwichpop
Предмет: Английский язык,
автор: Аноним
Предмет: Музыка,
автор: laxakis110
Предмет: Физика,
автор: Arinaka2014