Предмет: Математика,
автор: Alexiay
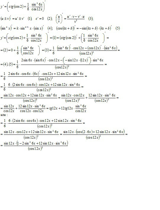
Найти производную уравнения
Приложения:
Ответы
Автор ответа:
0
решение во вложении---------------------------
Приложения:
Похожие вопросы
Предмет: География,
автор: Martin1203
Предмет: Информатика,
автор: Аноним
Предмет: Математика,
автор: lolol39
Предмет: Математика,
автор: elnur2008
Предмет: Информатика,
автор: marusyweb