Предмет: Математика,
автор: lok12345
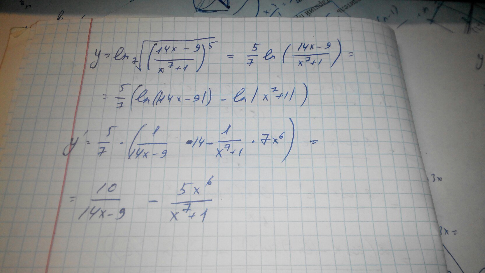
Помогите найти производную функций
Приложения:
Ответы
Автор ответа:
0
Решение на производной на фотке.
Приложения:
Похожие вопросы
Предмет: Математика,
автор: tomilin26
Предмет: Математика,
автор: Uiovvggcxfvv
Предмет: Окружающий мир,
автор: nikiforovnikita08
Предмет: Математика,
автор: багдасарян11
Предмет: Математика,
автор: bagirova204