Предмет: Алгебра,
автор: naimbair
Помогите
Доказать, что предел функции не существует
Приложения:
Ответы
Автор ответа:
0
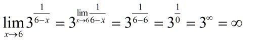
подставим в выражение
то к чему стремиться х, то есть подставим в выражение 6 вместо х
получим
lim(3^(1/0))
1/0 в пределе = бесконечность
а 3 в степени бесконечность - это бесконечность
=> предела нет, или же он равен бесконечности
то к чему стремиться х, то есть подставим в выражение 6 вместо х
получим
lim(3^(1/0))
1/0 в пределе = бесконечность
а 3 в степени бесконечность - это бесконечность
=> предела нет, или же он равен бесконечности
Автор ответа:
0
решение смотри во вложении
Приложения:
Похожие вопросы