Предмет: Алгебра,
автор: pivabaleechingnet
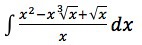
Помогите найти интеграл пожалуйста
Приложения:
Ответы
Автор ответа:
0
Похожие вопросы
Предмет: Физика,
автор: Аноним
Предмет: Информатика,
автор: dasataranukgmailcom
Предмет: История,
автор: maksimcuknasta653
Предмет: Информатика,
автор: gatinadina