Предмет: Алгебра,
автор: Аноним
Кто-нибудь может объяснить? )))
Приложения:
Ответы
Автор ответа:
0
А что не понятно?!
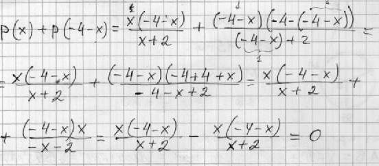
Выражения р(х) и р( - 4 - х) почти похожи, только во втором вместо х поставили (- 4 - х). Ну, а дальше элементарные преобразования!
1 - отмечены те выражения которые заменены х на (- 4 - х)
Выражения р(х) и р( - 4 - х) почти похожи, только во втором вместо х поставили (- 4 - х). Ну, а дальше элементарные преобразования!
1 - отмечены те выражения которые заменены х на (- 4 - х)
Приложения:
Похожие вопросы
Предмет: Биология,
автор: nadyasob8
Предмет: Математика,
автор: polishuktolik667
Предмет: Другие предметы,
автор: xrexti236
Предмет: Литература,
автор: nukolaeva
Предмет: Алгебра,
автор: aminabler1