Предмет: Алгебра,
автор: TanechkaTem
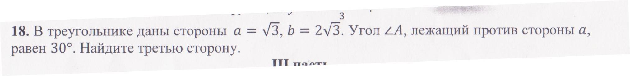
Помогите, завтра экзамен,я не успеваю все решить. Кто может, хоть одно задание решите, пожалуйста!!!!!!!!!!!!!!!!!!!!
Приложения:
Ответы
Автор ответа:
0
Решение здесь!!!!))))))
Приложения:
Автор ответа:
0
♥спасибо
Автор ответа:
0
начиркал много, но, надеюсь, разберешься. А график строить лень
Приложения:
Автор ответа:
0
обнови страницу, добавил график
Автор ответа:
0
о,красавчик, спасибо♥
Автор ответа:
0
пожалуйста
Похожие вопросы
Предмет: Математика,
автор: Specjapancar
Предмет: Математика,
автор: ksenia22032013
Предмет: Химия,
автор: Аноним
Предмет: История,
автор: Dashesdasha
Предмет: Математика,
автор: muhametvalitov