Предмет: Алгебра,
автор: mattforest
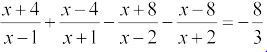
Решить уравнения. Алгебра 11 класс
Приложения:
Ответы
Автор ответа:
0
смотри решение на фото
Приложения:
Похожие вопросы
Предмет: География,
автор: vioejsj
Предмет: Химия,
автор: krssssssss
Предмет: Математика,
автор: Nik1238999990
Предмет: Алгебра,
автор: stray228
Предмет: Обществознание,
автор: lognikova77